System Funkcji Iterowanych (IFS)

IFS (ang. iterated function system) to zbiór funkcji używanych do konstruowania fraktali. Zostały one opisane w 1981 roku przez John'a Hutchinsona. 

Funkcje te mogą służyć do przekształcania zarówno płaszczyzny dwu- jak i trójwymiarowej. Jednak dla uproszczenia zajmijmy się tylko dwoma wymiarami. Płaszczyznę taką opisujemy za pomocą współrzędnych x i y. 

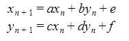
Pojedyncza funkcja IFS:

Funkcja IFS

Gdzie a, b, c, d, e i f to współczynniki przekształceń,
a x i y  to współrzędne.


Gra w chaos

To sposób generowania fraktali przy użyciu IFS, który zostal przedstawiony przez Michaela Barnsleya. Podzielony jest on na kilka etapów:

  • Najpierw zostaje wylosowany punkt na płaszczyźnie lub wybrany zostaje punkt (0,0)
  • Losowo wybrana zostaje funkcja przekształcająca ze zbioru funkcji IFS
  • Dokonuje się przekształcenie, powstaje nowy punkt
  • Dokonujemy iteracji, czyli powtórzenia całego procesu (im więcej powtórzeń, tym dokładniejszy obraz fraktala otrzymamy)

Zbiór wszystkich otrzymanych w ten sposób punktów nazywamy atraktorem.

Oprócz współczynników, o których była mowa wyżej, każdej funkcji definiuje się także prawdopodobieństwo p z jakim powinna zostać wylosowana.

Suma tych prawdopodobieństw powinna wynosić 1.


Stwórz swój własny fraktal!

Manipuluj współczynnikami funkcji IFS dla fraktala paproci Barnsleya i zobacz co się stanie!
(dla potrzeb programu prawpodobieństwo ostatniej funkcji jest ustawiane automatycznie)

a

b

c

d

e

f

p

a

b

c

d

e

f

p

a

b

c

d

e

f

p

a

b

c

d

e

f

p

(Źródła: treśćkod IFS)